• 首 页
  • 亚博pt官网
    • 所况简介
    • 所长致辞
    • 现任领导
    • 历任领导
    • 战略规划委员会
    • 学术委员会
    • 学位评定委员会
    • 组织机构
    • 院士
    • 名誉教授
    • 兼职教授
    • 历史沿革
    • 联系我们
    • 园区风貌
  • 机构设置
    • 科研系统
    • 管理系统
    • 支撑系统
    • 园区概况
  • 人才队伍
    • 院士
    • 杰出青年基金
    • 研究员
    • 副高级
    • 基金委创新群体
    • 青年创新促进会
  • 科研成果
    • 科研进展
    • 成果转化
    • 获奖
      • 获奖概况
      • 获奖动态
    • 专利
  • 交流合作
    • 学术交流
      • 学术交流动态
    • 科技合作
      • 重点项目推介
      • 参股企业介绍
  • 研究生教育
  • 党建文化
    • 党建工作
    • 文化活动
    • 形象标识
  • 科学传播
    • 传媒扫描
    • 科普动态
    • 科普报告
  • 信息公开
    • 信息公开规定
    • 信息公开指南
    • 信息公开目录
    • 依申请公开
      • 在线申请—公民
      • 在线申请—法人/其他组织
    • 信息公开年度报告
    • 信息公开联系方式
  • 新闻动态
    • 头条新闻
    • 科研进展
    • 科研活动
    • 综合新闻
    • 党建动态
  • 通知公告
  • 学术报告
    • 分子科学论坛报告
    • 所级邀请报告
  • 人才招聘
  • 专题报道
网上办公平台   |   所内网(旧版)   |   邮箱登录   |   EN
  • 首 页
  • 亚博pt官网
    • 所况简介
        亚博888成立于1956年,是以基础研究为主,有重点地开展国家急需的、有重大战略目标的高新技术创新研究,并与高新技术应用和转化工作相协调发展的多学科、综合性研究所,是具有重要国际影响、高水平的化学研究机构。化学所的主要学科方向为高分子科学、物理化学、有机化学、分析化学、无机化学。多年来,化学所面向世界科技前沿,取得一批有重要影响的基础研究成果,原始创新能力不断提升;面向国家战略需求,取得多项关键核心技术突破,高技术创新与集成不断加强;面向国民经济主战场,形成一批自主知识产权,延伸创新价值链,技术示范和产业化不断推进。
      现任领导
      • 王树

        所长

      • 范青华

        党委书记、副所长

      • 刘斌

        纪委书记

      • 郑企雨

        副所长

      • 周恒

        副所长

      • 郭玉国

        所务委员

      所长致辞
        亚博888是以基础研究为主,有重点地开展国家急需的、有重大战略目标的高新技术创新研究,并与高新技术应用和转化工作相协调发展的多学科、综合性研究所。60多年以来,几代化学所人不懈努力,顽强拼搏,勇攀高峰,形成了创新、求是、团结、奉献的优秀文化,为我国科技事业、国民经济和国家重大需求做出了重要贡献。中国科学院知识创新工程以来,化学所以建设国际一流的化学研究机构为目标,不断凝练科技目标,调整和完善了科研组织结构;坚持“引进与培养并重”,形成了一支结构合理、素质精良的科技创新队伍;瞄准科学前沿,注重原始创新和学科交叉,取得了一批有重要影响的基础研究成果
      • 历任领导
      • 战略规划委员会
      • 学术委员会
      • 学位评定委员会
      • 组织机构
      • 院士
      • 名誉教授
      • 兼职教授
      • 历史沿革
      • 联系我们

      园|区|风|貌

  • 机构设置
    • 科研系统
      • 国家级科研平台

      • 实验室

      • 所级研究中心

      管理系统
      • 党委办公室

      • 纪监审办公室

      • 综合处

      • 科技处

      • 人事处

      • 教育处

      • 财务资产处

      • 质量处

      • 重大任务处

      支撑系统
      • 分析测试中心
      • 信息化办公室
      • 中国化学会
      园区概况
      • 中关村园区
      • 昌平园区
      • 武清园区
      • 怀柔园区
  • 人才队伍
    • 院士
      • 曾昭抡
      • 柳大纲
      • 梁树权
      • 王葆仁
      • 蒋明谦
      • 钱人元
      • 蒋丽金
      • 黄志镗
      • 徐端夫
      • 江龙
      • 朱起鹤
      • 朱道本
      • 白春礼
      • 佟振合
      • 姚建年
      • 万立骏
      • 江雷
      • 赵进才
      • 李永舫
      • 韩布兴
      • 刘云圻
      • 李玉良
      • 杰出青年基金

      • 研究员

      • 副高级

      • 基金委创新群体

      • 青年创新促进会

  • 科研成果
      • 科研进展

      • 成果转化

      • 获奖

      • 专利

  • 交流合作
    • 学术交流
      更多 +
      • 澳大利亚沃隆港大学Gordon G. Wallace教授访问化学所并作分子科学论坛报告
        2026-03-09
      • 2026年IUPAC全球女化学家早餐会-中国地区活动成功举办2026-02-13
      • 葛茂发团队荣获两项环境保护科学技术奖2026-02-11
      • 化学所第四届博士后学术交流会成功举办2026-02-10
      • 新加坡南洋理工大学陈俊丰教授访问化学所并作分子科学前沿讲座2026-02-04
      • 董焕丽研究员荣获第五届青山科技奖2026-02-03
      持股企业
      更多 +
  • 研究生教育
    • 招生动态
      更多 +
      • 【硕士】关于化学所2026年拟录取统考硕士研究生提交补充材料的通知2026-04-03
      • 【硕士】亚博8882026年招收硕士研究生拟录取名单公示2026-04-03
      • 【转博】关于2026年秋季转博及博士资格认定考核的通知2026-03-17
      • 【硕士】亚博8882026年招收硕士研究生复试分数线及复试规程2026-03-13
      • 【推免】关于亚博8882026年推荐免试研究生(含直博生)复查的通知2026-03-12
      • 【硕士】关于2026年全国硕士研究生招生考试初试成绩查询及成绩复查的通知2026-02-28
      培养动态
      更多 +
      • 【假期提醒】关于2026年清明假期期间研究生安全工作的提醒2026-04-01
      • 【评优】化学所关于2026年度中国科学院优秀博士学位论文初选工作的通知2026-03-24
      • 【心理普测】关于化学所全体在所研究生2026年心理普测的通知2026-03-20
      • 【学籍】关于2026年春季学期学生证注册的通知2026-03-03
      • 【学籍】化学所关于2026年研究生春节休假及假期安全相关工作的通知2026-01-28
      • 【学术交流】化学所关于申报2026年“研究生学术交流专题项目”的通知2026-01-26
  • 党建文化
    • 文化活动
      更多 +
      • 赓续精神血脉,汲取奋进力量——高分子物理与化学党总支组织开展党史学习主题党日活动2025-07-25
      • 弘扬科学精神 筑牢思想防线——信息技术党支部开展学习贯彻中央八项规定精神系列主题活动2025-07-24
      • 工程塑料党支部开展“正廉洁作风以明纪,承科学家精神以报国”主题党日活动2025-07-23
      • 触摸历史脉络,感悟使命担当——高分子物理与化学党总支与实验室分工会联合开展主题党日活动2025-07-23
      • 化学所召开第三十五次研究生代表大会2025-07-22
      • 强信念 担使命 促科研——光化学党总支、胶体界面党支部、理化所光化学转换与合成研究中心党支部联合开展思政论坛学习活动2025-07-21
      党建工作
      • 党建工作

      形象标识
  • 科学传播
    • 传媒扫描
      更多 +

      【央视网】“全”释硬科技 我国科学家研发出人体热发电新型材料

      科普动态
      更多 +
      • 为高镍三元正极材料设计新型、高效的表面防护层

      • 将氮气装在“破口袋”中,均相氮气活化反应

      • 让光“旋转起舞”:新型液晶材料开启全彩色圆偏振发光新时代

      • 生命密码的“第二套字母表”:蛋白质测序,窥见生命的真谛

  • 信息公开
      • 信息公开规定
      • 信息公开指南
      • 信息公开目录
      • 依申请公开
      • 信息公开年度报告
      • 信息公开联系方式
  • 首 页
  • 亚博pt官网
    • 所况简介
    • 所长致辞
    • 现任领导
    • 历任领导
    • 战略规划委员会
    • 学术委员会
    • 学位评定委员会
    • 组织机构
    • 院士
    • 名誉教授
    • 兼职教授
    • 历史沿革
    • 联系我们
    • 园区风貌
  • 机构设置
    • 科研系统
    • 管理系统
    • 支撑系统
    • 园区概况
  • 人才队伍
    • 院士
    • 杰出青年基金
    • 研究员
    • 副高级
    • 基金委创新群体
    • 青年创新促进会
  • 科研成果
    • 科研进展
    • 成果转化
    • 获奖
    • 专利
  • 交流合作
    • 学术交流
    • 科技合作
  • 研究生教育
  • 党建文化
    • 党建工作
    • 文化活动
    • 形象标识
  • 科学传播
    • 传媒扫描
    • 科普动态
    • 科普报告
  • 信息公开
    • 信息公开规定
    • 信息公开指南
    • 信息公开目录
    • 依申请公开
    • 信息公开年度报告
    • 信息公开联系方式
  • 当前位置:首页新闻动态科研进展
  • 科研进展

    化学所在有机、高分子发光材料领域取得新进展

    发布时间:2004-06-07【字体: 大  中  小 】【打印】 【关闭】

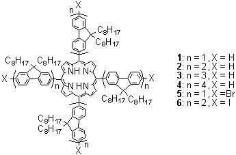
    在国家自然科学基金委、科技部、中科院等的大力支持下,化学所高分子物理与化学国家重点实验室薄志山研究员领导的课题组在有机、高分子发光材料领域取得新进展。他们采用将高效蓝光材料--聚芴,通过化学键直接连接在卟啉核上的方法,制备得到了一系列单分散的星形芴臂卟啉齐聚物。这种新型卟啉聚合物外围的芴臂与卟啉核共轭连接,芴臂吸收蓝光并将能量转移至卟啉核,最终发出饱和的红光。芴臂的引入使得卟啉具有相当好的溶解性,即使在膜中也不发生聚集,发光量子效率比常用的卟啉化合物提高了一倍多。这一新进展在很大程度上解决了卟啉类化合物作为红光材料使用中的问题。该研究结果发表在国际著名化学期刊J. Am. Chem. Soc. (2004, 126, 3430-3431)上。

      红光材料作为三原色有机发光材料之一,目前主要是通过物理掺杂的方法,将红光染料掺杂到宽带隙的主体材料中制备,能量通过空间传递 (Föster)原理从主体材料转移至红光染料。目前具有实际应用价值的红光染料很有限,卟啉是其中效率和稳定性较好的。但是因为通常的卟啉,如四苯基卟啉(TPP),其自身发光效率仅有0.11,且其掺杂浓度超过8%即发生聚集,溶解性差,使用中受到很大限制。考虑到通过化学键的能量转移速率是通过空间传递速率的近百倍,将发光量子效率很高的蓝光材料聚芴直接连接到卟啉核上,制备得到的芴臂卟啉,其本身就是一种单分子的主-客体能量转移体系,因其特殊的共轭结构和空间结构,一举解决了通常卟啉化合物荧光量子效率低、易发生聚集产生荧光猝灭、溶解性差等问题。有趣的是,这种芴臂卟啉在膜中从蓝光到红光的能量转移更为彻底,当芴臂超过一定长度时就可以得到饱和的红光,这使得其更适合于制备器件。

    图1 芴臂卟啉分子结构

    图2 F4P(n=4)分子模拟图

    图3 膜中的荧光谱图

     

                             (高分子物理与化学国家重点实验室供稿)

    附件下载:

    上一篇:化学所制备出同时具有超疏水及超亲油性的油水分离网膜材料
    下一篇:化学所在非手性分子形成手性组装体的研究方面继续取得新进展

    亚博pt官网

    • 所况简介
    • 所长致辞
    • 现任领导
    • 历任领导
    • 战略规划委员会
    • 学术委员会
    • 学位评定委员会
    • 组织机构
    • 院士
    • 名誉教授
    • 兼职教授
    • 历史沿革
    • 联系我们
    • 园区风貌

    机构设置

    • 科研系统
    • 管理系统
    • 支撑系统
    • 园区概况

    人才队伍

    • 院士
    • 杰出青年基金
    • 研究员
    • 副高级
    • 基金委创新群体
    • 青年创新促进会

    科研成果

    • 科研进展
    • 成果转化
    • 获奖
    • 专利

    交流合作

    • 学术交流
    • 科技合作

    研究生教育

    • 招生动态
    • 培养动态
    • 毕业学位
    • 就业信息

    党建文化

    • 党建工作
    • 文化活动
    • 形象标识

    科学传播

    • 传媒扫描
    • 科普动态
    • 科普报告

    信息公开

    • 信息公开规定
    • 信息公开指南
    • 信息公开目录
    • 依申请公开
    • 信息公开年度报告
    • 信息公开联系方式
    版权所有 © 亚博888 京ICP备05002796号-1 京公网安备110402500016号
    地址:北京市海淀区中关村北一街2号 邮政编码:100190
    电话:010-62554626 传真:010-62564828 010-62569564