
一种新型有机/无机杂化多空腔纳米胶囊
中空的纳米颗粒具有一定的内部空间,可以包容其它的客体分子和颗粒,可望在控制释放、功能负载等方面具有重要的应用。通过特定聚合物的简单自组装一般得到的是具有一个空腔的囊泡,这种聚合物自组装结构是当前高分子科学领域中的重要研究内容。但科学家们对于如何在纳米颗粒内部形成复杂结构了解的很少,文献中曾报道过嵌段共聚物自组装成一种所谓的复合囊泡,具有类似莲藕断面的结构。但其结构是纯有机的,并且在改变条件时自组装结构会被破坏。
化学所高分子物理与化学国家重点实验室科研人员(陈永明研究员的课题组)通过聚合物的自组装和凝胶过程,制备了一种具有多空腔结构的有机/无机杂化新型纳米复合胶囊。该课题组最近发展了一类两亲反应性嵌段聚合物,其中一段侧基带有反应性多甲氧基硅,另一段为聚乙二醇(Macromolecules 2004, 37, 6322)。基于这类聚合物,该实验室曾报道过一类新颖的稳定有机/无机杂化胶囊(J. Am. Chem. Soc. 2003, 125, 14710; Macromolecules 2004, 37, 5710)。在深入系统进行这类新型嵌段共聚物自组装规律的研究中,研究人员发现在水和N,N-二甲基甲酰胺的混合溶剂中,聚合物可以通过自组装形成复合胶囊,在碱性催化剂的作用下,处于胶囊壁的反应性链段发生了微观尺度上的溶胶-凝胶反应,得到了具有复杂空心结构的新型纳米杂化材料,制备简便。由于这种空心纳米材料被化学交联并且含有氧化硅的组份,形貌非常稳定。这种简便的在纳米颗粒内部产生多空穴化的方法颇具创新性。如果将客体分子或颗粒包裹到这种新型纳米材料的各个空穴中,可能具有实现分步释放的性能而在生物医药领域发挥作用。研究论文发表在最近的德国《应用化学》(Angew. Chem. Int. Ed. 2004, 43, 5084-5087)上。
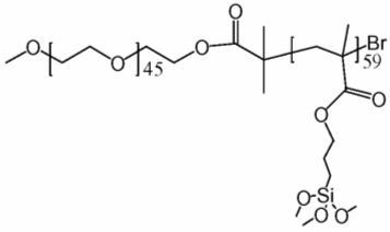
图1 嵌段共聚物的结构

图2 形成复合囊泡的可能机理:首先嵌段共聚物自组装形成囊泡,但由于在该条件下囊泡表面自由能太高不稳定,倾向于聚集并熔合,以减小表面积直至稳定。在加入了催化剂后,反应性聚合物壁凝胶化,形貌被固定下来。(蓝色表示PTMSPMA部分,红色表示凝胶,黄色表示PEO部分)

图3 不同聚合物浓度下形成的杂化复合胶囊的电子显微镜图


图4 在较高聚合物浓度下形成的杂化复合胶囊的透射电子显微镜结果,呈现出向日葵花的图案
附件下载: