
化学所研究人员制备出新型可擦写高密度光信息存储材料
随着信息技术的全球化和多媒体化,人们对信息存储密度和响应速度不断提出更高要求。在快速读写方面,光学信息存储显示出其独特的优势,特别是可擦写高密度光信息存储材料和技术成为研究的热点。近年来,将光致变色材料用于光信息存储受到全球范围内的广泛关注,而螺噁嗪类光致变色化合物由于其良好的光稳定性和耐疲劳性而在许多光学领域得到应用,但是,其开环体热稳定差的缺陷却使其在光学信息存储领域的应用受到极大限制。
近日,化学所有机固体院重点实验室宋延林研究员与华东理工大学
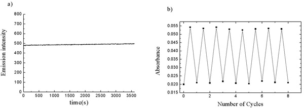
他们设计合成了一种具有良好开环体热稳定性的新型螺噁嗪分子SOFC。通过在螺噁嗪分子母体环上引入二茂铁基团,使螺噁嗪开环体的热稳定性大大提高。光致异构化反应的研究结果表明,这种分子具有良好的光致变色性能,并且其光致变色反应前后分子的荧光发射有明显的差别。基于这种性能,他们利用共焦荧光显微镜在这种螺噁嗪分子的薄膜上实现了二维光学信息存储,并成功地利用双光子技术进行了三维光学信息存储。同时,还研究了存储图案在读出过程中的光学稳定性,以及在多次“写入-擦除”过程中的耐疲劳性。结果表明,这类新型光致变色材料用于信息存储表现出良好的稳定性,而且可以进行信息的反复写入和擦除,并可应用于基于双光子技术的多层三维高密度光学信息存储,表现出很强的应用前景。这一研究结果为新型高密度光学信息存储材料的设计和制备开拓了新的思路。
有关研究成果已经发表在《先进材料》(Adv. Mater. 2005,17(2),156-160 )上。

图1 螺噁嗪分子的光致异构化反应

图2 利用共焦荧光显微镜读出的二维信息存储图案

图3 利用双光子技术在同一薄膜上实现的三维信息存储图案。左图:在同一薄膜不同深度写入的“S”、“O”、“F”、“C”字母;右图:按箭头所示方向得到的垂直方向剖面图。

图4. (a)存储信息的读出稳定性和(b)写入/擦除循环实验结果
有机固体院重点实验室
附件下载: