
美国化学会志报道化学所导电聚合物研究新成果
n-型有机半导体材料是构筑有机光电子器件如发光二极管、场效应晶体管和太阳能电池中活性层的重要材料。相对于p-型有机半导体材料而言,n-型有机半导体材料比较缺乏,特别是具有高电子迁移率的n-型导电聚合物更为少见。
在国家自然科学基金委、科技部、中国科学院的大力支持下,化学所有机固体院重点实验室研究人员与美国佐治亚理工大学科研人员合作,设计合成了既具有高电子迁移率又具有宽波段吸收的n-型黑色导电聚合物,并用它构筑了高操作性能的有机场效应晶体管和全聚合物太阳能电池,部分研究成果发表在美国化学会志(J. Am. Chem. Soc., 2007, 129(23), 7246-7247)上。
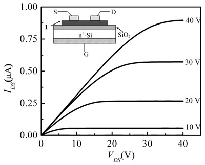
苝酰亚胺小分子具有低的LUMO能级和高的电子迁移率,常用于制备有机场效应晶体管和有机太阳能电池。然而它不能吸收近红外波段的太阳光。另一方面,稠环噻吩具有共平面结构,有利于分子有序排列和迁移率的提高。研究人员把苝酰亚胺和稠环噻吩共聚得到了黑色的交替共聚物。缺电子苝酰亚胺和富电子稠环噻吩之间的电子转移把吸收拓展到近红外区域。用合成的聚合物作为半导体层构筑了n-型场效应晶体管,它具有高电子迁移率(1.3 ´ 10


有机固体院重点实验室
附件下载: