
化学所在有机半导体材料的设计、合成和场效应晶体管的研究方面取得新进展
在国家自然科学基金委和中国科学院的支持下,化学所有机固体院重点实验室的研究人员在新型四硫富瓦烯(TTF)衍生物的设计、合成及其在有机场效应晶体管(OFET)中的应用中取得了新进展,相关研究成果申请了中国发明专利并于近期发表。
TTF及其衍生物是经典的有机给体分子,自20世纪70年代以来,在有机导体和超导体领域中进行了广泛的研究。近年来,TTF衍生物作为有机半导体材料在有机场效应晶体管中的应用引起了人们极大的兴趣。
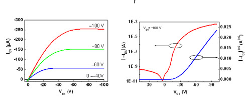
为改善场效应晶体管的电性能和器件的加工性能,研究人员首先设计、合成了苯基无取代的线性苯并双TTF化合物,并用溶液法制备了它们的OFET器件(Chem. Comm. 2006, 2750-2752; J. Mater. Chem. 2007, 17, 736-743)。这是第一次用低聚TTF化合物(双TTF化合物)为活性层制备OFET器件,也是用溶液法制备TTF衍生物薄膜器件的有益尝试。 Chem. Comm.将该论文选为“Hot Paper”,并以“有机场效应晶体管的新起点”(New horizons for organic field-effect transistors)为标题进行了评论。在此工作的基础上,研究人员又设计、合成了一类新型的TTF衍生物:二苯并TTF二酰亚胺(图1)。该类化合物具有刚性、平面的 p 体系,适中的给电子能力和丰富的衍生物种。场效应器件测试显示:二苯并TTF二酰亚胺衍生物是一类高性能的空气稳定的p型半导体材料。其中,R为正己基的衍生物具有较高的FET性能,室温制备的薄膜器件迁移率高达


图2 取代基为正己基的化合物的场效应输出曲线和转移曲线
有机固体院重点实验室
附件下载: