
化学所在二维手性研究方面取得重要进展
手性是自然界的重要现象,手性研究是自然科学研究的挑战性课题。发生在二维表面的手性现象,对异相手性催化、手性物质的分离与拆分、手性晶体、乃至对探索生命起源等方面均具有重要的科学和应用价值。研究发现,手性分子和非手性分子均可在固体表面形成各种各样的手性纳米结构,但是表面手性是如何产生、传递和放大的目前仍不清楚,组装过程的手性特征缺乏控制,组装结构随机地表现出左手性或右手性,并且手性只局限于表面的局部区域,整个表面仍表现为外销旋特征,这些不利于人们对手性现象的认识及对表面手性结构的设计构筑,也严重制约了手性表面的应用。最近,化学所分子纳米结构与纳米技术院重点实验室的研究人员成功利用简单的手性共吸附分子实现了对表面组装过程的手性特征的控制,获得了具有整体左手性或整体右手性的表面二维多孔网格结构,首次发现了固/液界面基于非手性分子的手性非线性放大现象,并从分子层次上研究了非手性分子组装过程中手性的产生、传递和放大过程,相关研究结果发表在近期的Nature Commun.(2013,4:1389) 上。
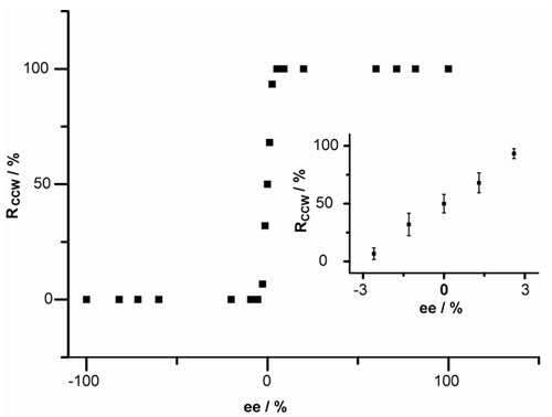
在科技部、国家自然科学基金委及中国科学院的支持下,化学所分子纳米结构与纳米技术院重点实验室的研究人员长期致力于表面手性研究,已经成功实现了表面手性分子绝对构型的鉴别(Angew. Chem. Int. Ed., 2002, 41, 3408-3411),非对应异构体的表面拆分(J. Am. Chem. Soc., 2008, 130, 8878-8879),表面手性结构的构筑及调控(J. Am. Chem. Soc., 2010, 132, 5598-5599; 2011, 133, 21010-21015)等。最近,研究人员设计了具有多重氢键稳定的双组份分子网格体系,BIC(5-(benzyloxy)-isophthalic acid derivative)和1-辛醇。通过控制1-辛醇中与氢键作用位点相邻的碳原子的手性,实现了手性特征的调控,获得了具有整体左手性或整体右手性的表面二维多孔网格结构。研究发现,两种组分的氢键相互作用具有一定的立体选择性,当在辛醇的氢键作用位点附近引入手性碳原子后,碳原子的手性可通过立体选择性相互作用转化为BIC/辛醇分子结构基元的手性,并进一步传递至整个二维网格结构(图1)。在此过程中,手性辛醇分子既是手性种子也是构筑基元,BIC与辛醇分子间存在强的选择性相互作用,这些都有利于对组装过程的手性特征的控制。研究中还发现了一种手性非线性放大现象:在溶液相中,(S)-2-甲基辛醇或(R)-2-甲基辛醇的微小对映体过量(≥5.2%),便会导致整个表面网格结构表现出其对应的手性特征,另一种手性特征的网格结构则完全消失(图2),这是迄今为止首次有关固/液界面基于非手性分子的手性组装过程的“the-majority-rules”的报道。研究还发现,这种表面整体同手性结构具有手性记忆效应,在用非手性1,16-十六二醇分子替换掉手性2-甲基辛醇分子后,具有手性特征的网格结构仍可保持。这些研究结果为表面手性调控开辟了一种简单有效的途径,加深了对手性形成和放大机制的理解,并为手性表面在异相手性催化及手性分离等领域的应用提供了基础。

图1 手性分子与分子聚集体的选择性相互作用实现手性控制的示意图
图2 表面逆时针手性网格结构随溶液相中(S)-2-甲基辛醇过量程度的非线性放大曲线
分子纳米结构与纳米技术院重点实验室
2013年2月7日
附件下载: