
化学所在多孔聚合物材料捕集和催化CO2转化方面取得重要进展
CO2 是主要的温室气体,同时也是廉价、丰富的 C1 资源,CO2 的捕集和化学转化具有重要意义。多孔聚合物材料因其结构、功能的可设计性,在气体吸附分离、化学催化等领域显示广阔的应用前景,为CO2的捕集和催化转化提供了发展契机。
在国家自然科学基金委和中国科学院的大力支持下,化学所胶体、界面与化学热力学重点实验室的科研人员在多孔聚合物材料设计合成及其捕集和催化CO2转化方面开展了系统研究,取得重要进展。研究人员通过在聚合物结构中引入亲CO2基团,发展了多种含氮(Chem. Commun.2015, 51, 1271;Chem. Commun. 2015, 51, 11576.)、含氟(Green Chem.2014, 16, 3724;Chem. Commun.2014, 50, 13910.)、含膦(ACS Catal.2016, 6, 1268.)的功能化多孔聚合物催化材料,实现了CO2的有效捕集和高效转化。
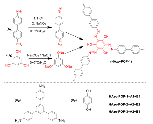
最近,研究人员通过多取代芳香胺与多酚偶联反应,在无模板、温和条件下,首次在水相体系中合成了聚偶氮酚介孔材料(如图所示)。所得材料的比表面积高达593m2g-1,其中~80%来自介孔贡献;材料结构中偶氮键和酚羟基的存在使材料具有良好的氢键形成能力和螯合金属能力。该材料可高效吸附CO2,并对吸附分离CO2和N2显示良好的分离选择性。螯合了Zn2+的聚合物材料与四丁基溴化铵共同作用,可在常温常压下高效催化CO2与环氧丙烷的环加成反应(Angew. Chem. Int. Ed.2016, 55, 9685; highlighted in back cover)。
聚偶氮酚合成路线示意图

胶体、界面与化学热力学院重点实验室
2016年9月13日
附件下载: