
化学所在新型高效不对称有机小分子催化剂的开发与应用方面取得新进展
在国家自然科学基金委、科技部、中科院的支持下,分子识别与选择性合成实验室有机催化课题组深入开展手性有机小分子(Chiral Organocatalysts)催化研究,最近,他们设计并合成了一类新型的二胺型手性有机小分子催化剂,实现了对aldol反应的高活性、高立体选择性催化。相关研究结果发表在近期《美国化学会志》(J. Am. Chem. Soc. 2007, Vol. 129, No. 11, p. 3074-3075)上。
Aldol反应是存在于生命体中的一种重要的化学反应,也是有机合成化学中用于碳-碳键构建的一类重要化学手段。实现高效、高选择性不对称aldol 催化对认识生命体的化学本质以及天然产物的合成都有着重要的意义。该课题组在前期工作中,设计合成了手性离子液型催化剂,并探索性地将其应用到不对称aldol反应催化,表现出了较高的催化活性以及中等的立体选择性(Angew. Chem. Int. Ed. 2006, 45, 3093; Tetrahedron, 2007, 63, 1923-1930)。该类催化剂兼具手性胺催化和离子液体的优良特性,在高效不对称催化反应的同时,能够有效地实现对催化剂的分离、循环利用的目的。
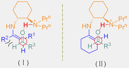
在上述工作的基础之上,为进一步提高对aldol反应催化的立体选择性,该课题组首次设计合成“伯胺-叔胺”协同催化的双功能手性小分子催化剂。该类催化剂利用伯胺催化这一常见于自然界的烯胺催化机理,同时通过叔胺官能团与一分子强质子酸原位构建出氢键给体实现不对称诱导。另外,研究也证实第二分子弱质子酸的引入可以极大地提高反应速率、改善催化活性。由于伯胺烯胺催化机理的独特性质,使得该类催化剂在催化直链烷基酮(acylic ketones)aldol反应时,得到了高syn选择性的产物。与此形成鲜明对比的是,绝大多数以脯氨酸为代表的二级胺催化剂对该类反应的催化效果较差,而且多为anti选择性。该项工作不仅发展了一类新型的高活性(高达>99%产率)、高非对映选择性(高达12:1dr)、高光学选择性(高达>99% ee)的不对称aldol反应催化剂,同时也加深了对伯胺催化剂催化机理的认识,为开发新一代不对称有机小分子催化剂提供了有益的借鉴。

新型“伯胺-叔胺”双功能手性小分子催化剂 催化直接Aldol反应

I 链酮aldol反应过渡态;Ⅱ环酮aldol反应过渡态

反应机理模型示意图
分子识别与选择性合成实验室
2007年4月17日
附件下载: