
化学所制备出再生纤维素/碳纳米管复合纤维
碳纳米管增强聚合物基体是其走向实用化的一个重要途径,但为此还有许多问题需要解决,如碳纳米管的均匀分散与取向、与基体聚合物的界面结合等。
在国家自然科学基金委、科技部和中科院化学所分子科学中心的支持下,化学所工程塑料院重点实验室的研究人员,以离子液体为介质,制备出了再生纤维素/碳纳米管复合纤维,该纤维具有力学性能优异、高温模量保持率高以及热烧蚀残炭率高等特点。相关研究成果发表在今年的Advanced Materials (2007, Vol.19, No.5, p.698-704)上。
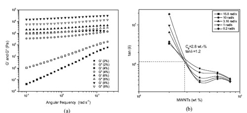
在前期研究中,该实验室研究人员发现一类新型离子液体对纤维素具有优异的溶解性能(Biomacromolecules 2004, Vol.5, No. 2, p.266-268,Macromolecules 2005, Vol.38, No. 20, p.8272-8277)。通过流变学研究,发现该类离子液体和碳纳米管之间具有较强的相互作用(图1),有利于碳纳米管在离子液体中的分散。
在此基础上,研究人员以离子液体为介质,首先制备纤维素/碳纳米管的离子液体溶液;再通过干喷-湿纺技术,以水为凝固浴,制备出再生纤维素/碳纳米管复合纤维(图2)。这种复合方法无需对碳纳米管进行先期表面改性,其中离子液体既是纤维素的溶剂又是碳纳米管的分散剂。干喷湿纺过程有效地提高了碳纳米管在纤维素基体中的取向。和再生纤维素纤维相比,复合纤维的力学性能得到显著提高,同时具有良好的高温模量保持率以及较高的热烧蚀残炭率。该技术对于制备纤维素基碳纤维与功能性纤维素纤维,具有潜在的应用前景。相关技术已申请了中国发明专利。

离子液体/碳纳米管混合物的流变行为

再生的纤维素纤维和纤维素/碳纳米管复合材料纤维
工程塑料院重点实验室
附件下载: